经过近两个月的等待,
2019年2月的S-AEIS考试终于放榜啦!
一起来看看掬英教育的战果如何!
掬英战果
本次代表掬英出战的学生共11人,有6人被新加坡政府中小学成功率取!小四/小五的3个孩子有两人被新加坡政府小学录取;(录取率67%)、中二的三名考生全部被政府中学录取(录取率100%)!
通过的学生与家长难掩心中的喜悦,雷正非的妈妈更是直言:没有在扬州的两个月,考上新加坡政府小学简直就是一个梦!
快来和我们一起分享已录取的考生们的喜讯吧!
小学


中学



祝贺你们
孩子们!
从此开启了你们人生的新篇章!
海阔凭鱼跃,天高任鸟飞!
希望你们在新加坡继续努力,
开拓出一片更加美好的新天地!





张钰琪的录取感言
从去年四月份去扬州学习,我就一直梦想着有这么一天,在孔老师和小孔老师的耐心指导下,我终于实现了这个梦想。刚开始去掬英学习的时候,大家都很厉害,而我的学习成绩也就自然而然的排在了最后。这对我打击很大,再加上自己刚到掬英,人生地不熟的会想家,基本上每天都无精打采的。在我最无助甚至都想要放弃的时候,孔老师过来找我谈话,很耐心的慢慢疏导我,告诉我不要在意别人的成绩,自己慢慢努力,一定会有成功的那一天的,孔老师还给我讲了很多以前在掬英学习的前辈们的故事,让我重拾信心。从那以后,我便开始努力的学习,暗自里默默付出,孔老师也总会留意我的变化,给我适当的鼓励。
终于,功夫不负有心人,经过我不懈的努力,我第一次拿到了全班听写总分最高的成绩,孔老师也向我投来了欣慰的目光。第一次考试的失利,对我来讲是更大的激励和动力,回到了掬英,我找到了从前熟悉的氛围和同学,在老师的不断帮助和同学的鼓励下,我经过两个月的备考,拿出了自己最好的状态迎接最终的考试。

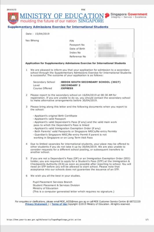
姚碧恒的录取感言
当我听到我通过AEIS的时候,我的内心是无比激动和高兴的。因为我长期付出的汗水终于结出了果实,也没有辜负老师和父母对我的期望。在掬英的日子里,即是辛苦的,也是快乐的。因为这里有乐于助人的同学和视我们如亲生子女一般师长。在这里我要感谢掬英的全体学生和老师,如果没有你们,我也不会走到现在。其实我的学习一直存在一个问题,那就是我无法使出全力。总是半途而废。好几天差几天。但孔老师却没有放弃我而是一直耐心的教导我。尽管有时会用戒尺“轻抚”我的手掌,我也不会有任何抱怨,因为我知道是我错。还清楚的记得,临考试前一天上午,当所有同学都在认真自习时我甚至在走神。
孔老师发现后勃然大怒,因为我是有能力考上的,如果考不上那就太可惜了。于是孔老师对我说“考不上就别来见我了”。这就如同被逐出师门一般。因此考试的时候我打起了100%的精神,也发挥出了我最好的水平。感想就说到这了,祝愿所有掬英的考生下一次全部通过。记住,你付出的终会有回报,偷的每一点懒也是会回馈到你自己身上!
“孔老师,下次您带学生去新加坡考试,我们一定去考场看您!”
这是已经考上新加坡政府学校的孩子、家长离开掬英时,一定和孔老师说的话。而孔老师也时时牵挂着那些已经考入新加坡的掬英学子们!
每年的AEIS考试,当孔老师把新考生送进考场后,便是与这些老生和家长们幸福相聚的时刻了!久别重逢,孩子们兴奋的与孔老师相拥,汇报已取得的成绩,谈谈自己的成长,说说自己学习与生活上的小烦恼。家长们更是拉着孔老师有说不完的话……


随着掬英的不断壮大,孔老师把已考入新加坡孩子的家长们组织在一起,成立了“掬英家长新加坡互助会”!在这个温馨的大家庭里,大家互相交流经验,说说心得。同时还不定期的组织活动,让孩子和家长们聚在一起,传递幸福,分享快乐!在新加坡陪读的妈妈们更是有了组织,不再孤单。

孔老师对每一位拿到录取通知书的学生都说:“无论何时,只要是从掬英走出的孩子,咱们永远是相亲相爱的一家人!”牢记孔老师的话,同学们把团结奋进的掬英精神延续到新加坡。在新加坡掬英这个大家庭里,同学们互相交流经验,互帮互助,共同进步,在异国他乡感受到了友谊和家的温暖。


有这么多掬英学友的互相鼓励与支持,掬英学子们在新加坡一往无前、乘风破浪。
祝愿掬英学子们成为风,鼓起白色的帆;成为船,剪开蓝色的波澜,带着一颗求知的心,去获取光明的未来!

留学为什么选择新加坡?
新加坡基础教育的优势:
陪读优势:在新加坡留学的中小学生,妈妈(或者外婆,奶奶)可以留在新加坡陪伴孩子读书成长
环境优势:离中国近,华人多,环境最容易适应
教育优势:基础教育质量,新加坡排名世界第一
安全优势:自然环境安全,没有海啸,风暴,地震等自然灾害,空气质量绝佳
食品安全:监察严格
人身安全:世界上犯罪率最低的国家之一
政治安全:没有政治纠纷
费用优势:在英语为母语的国家中,新加坡的留学费用最低,每年吃住学全部费用20万人民币,而美英澳是30万人民币左右,对于在公立大学及理工学院读书的学生,新加坡政府更是为他们减免60-70%的学费
语言优势:独特的双语教育
大学优势:高中毕业成绩可以申请世界各地的大学,更加容易申请新加坡本土国大,南洋这类名牌大学(升学率为25%)中国教育部承认的QS排名,国大 南洋分别排名11.12位,绝对的世界名校
工作优势:极大可能留新工作,继而申请到绿卡,长期留在新加坡
身份优势:新加坡新政已让许多在新加坡留学的学生拿到绿卡
说到这里很多人都想问,怎么才能去新加坡留学呢?
下面为大家详细解答
疑问
什么是AEIS考试?
回答
为了引近优秀人才,新加坡政府开辟AEIS考试通道(Admission Exercise for International Students),参加AEIS考试是国际学生进入新加坡政府中小学唯一方法,AEIS考试只考英语和数学,每年两次9月底和2月底,入学时间分别是1月初和5月初。
培训机构:掬英教育
培训老师:孔老师

Q:新加坡是精英教育,这个考试难吗?
A:新加坡AEIS考试并不容易,平均通过率只有大约5%-10%。
Q:我们如何帮孩子通过这个考试呢?
A:到掬英教育做封闭式集中培训!掬英教育的录取率远远高于平均通过率。

孔老师创办的掬英教育自有AEIS考试以来,就一直致力于AEIS考试培训,多年来帮许许多多学子圆了新加坡留学梦。2016年6月,为了方便更多的中国孩子通过考试,进入新加坡读书,孔老师将AEIS培训部迁至国内,落脚于文化名城扬州。
多年的专注专业,无数成功案例,让掬英教育享誉国内外。吸引了新加坡,欧洲,新西兰,菲律宾各国华人以及全国各地的学生来到掬英教育扬州培训基地接受AEIS培训。

教学团队:
1. 英语老师—孔老师:掬英教育创始人。自2012年起,就专注新加坡AEIS考试培训,积累了丰富宝贵的经验和AEIS考试的第一手资料。现已成功帮助许许多多孩子进入新加坡政府教育体系读书,让孩子从此站在跟世界对话的平台上。
2. 数学老师—Jay(庞老师):南洋理工大学研究生学历。从事AEIS、PSLE和Olevel的数学培训6年,精研新加坡数学知识体系和考点。教学思路敏锐独到,学生成绩提升迅速。
3. 数学老师—孔老师:数学狂人。兼具让孩子们无比喜爱的耐心、爱心和责任心。他的格言是:难题都会了,何惧简单的?
掬英教育培训详情
01
面向9月底考试的AEIS培训班:
4月1日—9月19日
02
暑期集训班:
7月1日—9月中旬
03
面向2月底考试的S-AEIS 培训班:
11月1日—2月17日(学生可以随时插班就读)
04
AEIS考试培训地址:
2016年6月起开始掬英教育将AEIS培训从新加坡延伸到中国扬州,建立了长期的掬英教育AEIS中国扬州培训基地。

新加坡掬英教育扬州培训基地的课程设置:
采取封闭式管理,全天24小时学习生活在掬英教育扬州基地(周日休息)
周一至周六每天四节英语课,每周四节数学课(每节课45分钟)
每天7节辅导课(免费赠送)每周两节羽毛球课或桌球课(在羽毛球馆进行)
每周一节口语选修课,由美国加利福尼亚大学毕业的Peter老师任教
掬英教育还可以帮我们的学生做以下事项
考前:AEIS考试报名。
考试期间:新加坡送考,到新加坡后的安排住宿吃饭,学习管理,送考。
考上之后:推荐优质的寄宿托管中心,带学生去学校报到,申请学生证,出任担保人,以及今后的与学校沟通联系——掬英为您一切安排妥当,免您后顾之忧!


(图文由掬英教育提供)
如果觉得我的文章对您有用,请随意打赏。你的支持将鼓励我继续创作!