新加坡学校这些年
一直在做两件事
“公平”和“减负”
新加坡教育部重磅宣布
2021年起小六会考也要进行
计分大!改!革!
广告什么?以后小六会考分数越低成绩越好?
什么?以后会有大量相同分数的学生,中学该怎么录取呢?
今天教育部披露了大量细节

小六会考就是著名的
“小学离校考试”PSLE
所有升上小学6年级的学生和家长
都进入“备战”的紧张状态
广告
拚命补习,全身心投入
就是为了让孩子在小六会考
有好的表现
最后能考上一个好的中学
小六会考大改革
小六会考改革将要怎么改呢
我们先看看目前是什么样的
BEFORE
目前小六会是采用
总积分T-score算法
很多人都是到总分是300
但是不知道其中的算法还挺复杂的……

PSLE一共考四门课:
英语,数学,科学和母语
根据难易及加权值
用一个公式算出
4科的总积分T-score
总积分T-score满分300分
分数越高成绩越好
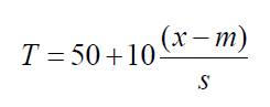
这个公式大概就是这样的

其中x就是学生的单科分数
m是参加该门考试所有学生的平均分
s则是标准方差
将几门课程的T-score加起来
就得到了小六会考的最终T-score
广告
看不懂对不对?看不懂就对了……
让我们来通俗解释下
为什么要用T-score?
采用T-score就可以有效避免
每年试卷的难易程度不同
而造成整体平均分的偏高或者偏低
简单来说如果考题难
大家的平均分都低
但是最终经过计算的T-score
不会跟往年有太大区别

(新加坡中学名校往年的截分点)
T-score分数更多地
反映了你在全国考生中的大概水平
但却无法得知实际分数

(明星晒小六会考成绩)
广告这个神秘而令人迷惑的算法
已经在新加坡沿用了30年!
现在要被改革啦~
AFTER
以后小六会考取代Tscore的将是
“八级”的积分等级制
(Achievement Level,简称AL)
会考的四个科目
每科考获的积分等级
介于AL1至AL8

(AL1至AL8对应的原始成绩)
AL1是表现最优秀的等级
所以学生在小六会考四科总成绩
最后介于4至32分

划重点:
分数越少,说明成绩越好!
广告
(未来PSLE的成绩单)
好像……更令人迷惑了
根据教育部的解释
这么做是为淡化过度看重成绩的心态
减少不必要的竞争
并让学生有更大灵活度
与空间去发展各自的强项与兴趣

为了这个改革能平稳进行
让2021年考试的学生
提前适应这个新的计分制
从明年开始小学五年级生
(也就是第一批使用新计分学生)
平时的考试成绩都将会
模拟新的计分制度
分别列出各科所获得的
积分等级和总成绩

明年小五的学生开始
成绩单就会长成这个样子
假设说英语考了83分
如上图成绩单样本所示
成绩单上就会同时显示
83分和AL3
这样可以让家长和学生
提前开始熟悉新制度
到小六会考的时候
对于新计分方式就不陌生了
普通科目 VS 基础科目
广告新加坡小学分流取消以后
“因材施教”的大方向还是没有变化
每年年底根据四年级学生
年终考试成绩
学校会建议他们升上小五时
选择普通(Standard)还是
难度较低的基础(Foundation)水平的科目
同时评估他们是否适合选修高级母语

有人要问了:
采用新的计分方式以后
假如选修普通科目的学生
和选修基础科目的学生同时考了满分
他们是不是都将获得AL1呢?
答案是:No
由于基础科目难度较低
即使学生考到了最好的成绩
也不能等同于普通科目的AL1
目前基础科目的成绩分为5个等级
以后将会减少至3个等级(A,B,C)
在小六会考后,分配中学学额时
教育部将把基础科目3个成绩等级
转换成积分等级制下的AL6至AL8
广告
A = AL6
B = AL7
C = AL8
尽管学生的基础科目成绩
考到了最佳的A
也只等同于积分等级制中的AL6
(因为基础科目整体比较简单)
教育部是这样解释的:
“基础科目让学生以较和缓的进度学习,考试要求、学习范围也比普通水平科目少得多,因此积分等级的标准须反映两者差异,这个做法与现有制度是相似的。现有制度下,在转换为总积分制的时候,类似考量也已经存在。”

虽然听起来有点残酷
但是根据教育部说
目前只有少数约10%的学生
选修1门或以上的基础科目
大部分学生还是修普通科目
如何影响中学入学
那家长又问了
每所中学的录取分数是多少啊?
这要等到2021年上半年才会公布了
小学离校考试通常在年中8月或9月进行
反正在考试以前,家长肯定能获知
新计分方式下中学的录取分数
广告
但是中学源流的分数
我们现在已经可以大概知道了
只要获得20分或者以下
就能进入快捷源流

*注意:2021年新加坡中学分流依然存在,2024年开始废除源流,实行科目编班制。
有人发现了在新的
等级积分制度下
由于数字比较小
可能会出现很多等级积分相同的学生
如果出现这种情况
中学的学额该怎么分配?
录取谁又不录取谁呢?
这就是拼身份+拼运气的时候

1)学生身份
新加坡公民 > 新加坡PR

2)选学校的次序
广告身份相同的话
按照选择学校的顺序来定
第一选择 > 第二选择

3)电脑抽签
如果身份和顺序相同的情况下
就进入电脑抽签就要拼运气了
4)高级母语
如果你选的学校是特选学校
四科总等级积分相同情况下
则高级母语等级高的学生优先

不过在新的积分等级制下
选修中学高级母语的条件
是小六会考四个科目总成绩
须不超过8分
(别忘了分数越少成绩越好!)
或总成绩介于9至14分
但其中母语科考取AL1或AL2等级
要求也是挺高的!
广告

以上就是小六会考新政策的解读啦
今年上小学四年级
也就是明年五年级的学生
将会是第一批受到影响的哦
各位家长提前做好准备哦~
(部分截图:CNA)
如果觉得我的文章对您有用,请随意打赏。你的支持将鼓励我继续创作!