根据最新的官方消息:
新加坡三育中小学的
中一和中一预备班也开放报名通道了!
需要注意的是:
报名时间为2月14日至2月27日,
名额人满就关闭!
有意向的家庭现在开始可以报名了!!!
报名连结:
https://www.regonline.com/builder/site/Default.aspx?EventID=2556871
注意关键时间点!!!
网上报名时间:
2019年2月14日—2019年2月27日;
考试&面试时间:
2019年3月5日
(注:考试成绩将于一个月内公布);
注意事项:
报名人满就自动关闭报名通道!
其他年级:
一旦校方释放出学额、入学考试的最新消息,我们会在第一时间通知家长!我们是三育中小学的校代~

请各位有意的考生家庭,
添加小助手进行咨询哦!
!
重要提示
从今年2月1日起,12岁以下的外籍儿童申请新加坡长期居留签证证时,必须先向保健促进局提交曾接受过白喉(diphtheria)及麻疹(measles)疫苗相关证件。
详情请点击:新规将至 | 留学家庭注意:2月1日起,来新加坡前没打过这两个疫苗,将不能办准证!
01 避开AEIS的最优途径,是……
家长们都知道,国际学生入进入新加坡政府中小学,必须先考政府中小学国际学生统一入学考试AEIS(Admissions Exercise for International Students)。
一直以来,中国家长为孩子择校时都青睐于公立政府院校,在很多人看来:公立学校师资雄厚、课程正统、学费低廉、更有官方背书等诸多优势~
但是在新加坡,往往被忽视的私立学校一样是优势满满,比如在后台家长们询问最频繁的新加坡三育中小学:
新加坡三育中小学虽为私立学校性质,但是新加坡教育部核准的唯一一所同时提供中学教育、小学教育和预备课程的自治学校。
1.教师全部是经过新加坡教育部注册和认可的合格教师!
2.所有课程是严格遵循新加坡教育部大纲!
3.毕业生可跟新加坡政府中小学的学生一样,学生在小学或中学毕业时将参加新加坡政府的统一考试!
4.三育中小学也是新加坡教育部委任办理PSLE和GCE'O'Level的考试中心!
最关键的是,无需参加AEIS考试,只需通过学校的入学考试就能入学!
要知道,三育中小学不仅课程体系,和政府中小学学校一致,开课、假期时间也相同,更重要的是这所学校是可以办理陪读准证的!

学习氛围优 要看一个学校是否优秀,学习氛围是最最重要的评价标准了。三育学校的学习氛围自然是毋庸置疑的。所有申请三育中小学的国际学生均需要参加入学考试,以确保有学习能力的学生进入,拥有这么多的优秀学子,三育学校的学习氛围自然是相当浓厚的。
02 报名条件?学费?关于三育的Q&A:
家长们频繁资讯三育中小学,也理解家长为什么如此着急:
想趁著早春之际,为孩子换一个新的跑道,重新起航!
所以特别整理了一波后台搜集来的关于三育中小学的问题:
Course Fees
学费

其中,国际学生最需关注的是:
小学S$14,110;初中S$16,330。
Age Requirements
年龄要求

学生年龄在7至18岁;
通过学校测试及面试,考试内容包括英语和数学。
Q1
三育中小学的课程设置是什么样的?

仿公立学校课程 所有课程是严格遵循新加坡教育部大纲,学生在小学或中学毕业时,将参加新加坡政府的统一考试,学校也与多所欧美及澳洲的大学建立了合作关系,使学生在毕业前就为将来到欧美及澳洲深造打下基础。
三育中小学属于私立学校,师生比例1:40,有小学和中学部。小学是6年制、初中是4年制,开学时间和政府中小学是一样在每年的1月2日,学期结束时间每年的10月或11月,与政府公立中小学是一致的。
小学阶段上的课程包括英语、数学、科学、华语等,如果是小六生记住一定一定要参加教育部(MOE)举办的毕业考试。
中学全部为四年制的快捷班,超龄学生也可入读。课程包括英语、数学、科学(物理、化学、生物)、历史、华语、英国文学、地理等。
优秀的中学毕业生可升入新加坡政府的理工学院、初级学院或海外大学预科班就读。
Q2
去三育这样的私立学校可以陪读吗?

陪读政策 三育中小学虽然是私立学校性质,但是母亲或者奶奶或者外婆可以申请陪读。
在新加坡,只要是16岁以下的学生都可以申请母亲陪读,这是为了让家长能够放心让孩子在新加坡留学,这样不仅可以照顾孩子的饮食起居,还能够参与孩子的成长。
一般申请新加坡母子陪读政策的亲属需要是孩子的母亲,或者是女性直系亲属,母亲在陪读期间可以合法打工。
等到孩子进入学校,办理学生准证,家长就可以申请办理新加坡母子陪读签证,一般有效期为1年,可根据孩子学生准证的续签再做续签。
Q3
去三育可以同时参加AEIS考试吗?
AEIS考试 进入三育中小学就读之后,学生同样可以参加新加坡国际学生统一入学考试AEIS考试。
由于通过AEIS考试进入新加坡政府中小学的难度逐年加大,目前不少家长选择三育中小学作为过渡,让孩子备考AEIS。
Q4
备考入学考试,有没有什么省心省力的选择呢??
由于考位有限,想要申请的学生抓紧联系我们,我们是三育中小学的校代,同时我们还提供三育中小学入学考试的培训!!!
在经过我们“全真模拟环境下”的专业系统性培训后,往往都能从容应对。有意的考生家庭,可以扫描文章开头二维码添加小助手进行咨询哦!
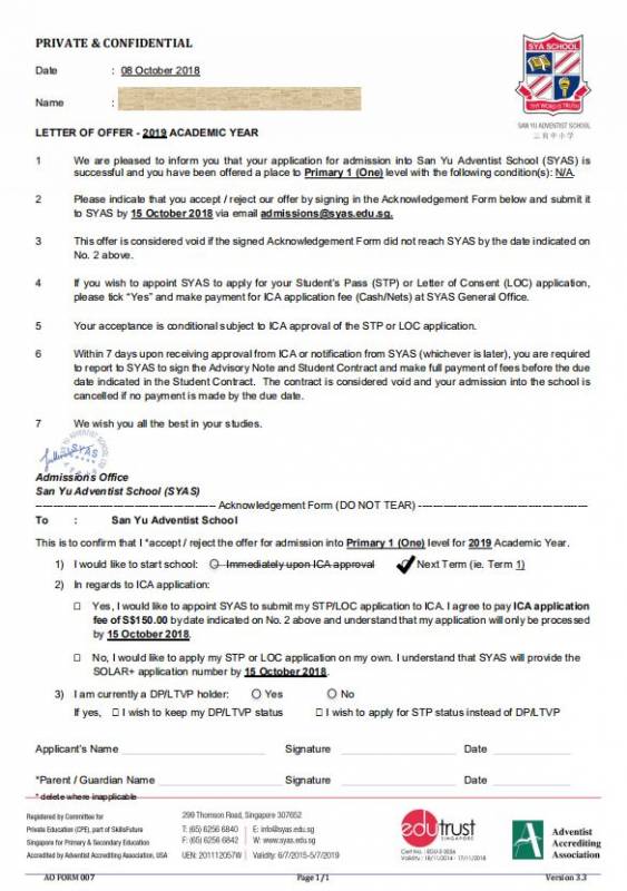
以下都是我们学生收到的录取通知!!!





每年,都有大量家长想把自己的孩子送往新加坡接受新式教育;如今,想让孩子入读新加坡政府中小学的路径便是参加AEIS与S-AEIS考试;而每年,在AEIS考试的考场上,都能看到一些熟悉的面孔……可知,AEIS考试是相当有难度的!!!
而进入新加坡三育中小学就读,被认为是一条与AEIS殊途同归的升学途径!机不可失!!!
如果觉得我的文章对您有用,请随意打赏。你的支持将鼓励我继续创作!