考考考,分数第一。
考试是新加坡学习的特色,学生、家长几乎都有节奏地忙着各种考试。
比如我儿子的学校,英语生词听写几乎是周周考;其次是隔几周就一次的单元测试,英语听力测试,第二母语听力测试;最后就是忙每学年期末大考了,先是第二母语、英语看图写话考试;之后是第二母语、英语的口语考试;最后是各科学年终考试。这些学年考试大约半个多月举行一种,所以考试通常从8月持续到10月底。这期间有的学校还会对二年级以上学生进行一个国际英语能力测试。各种考试和升级分班挂不挂钩,占分值比例多少,老师都会讲清楚。几乎孩子的每一个考试都涉及到将来的分班,因此新加坡人在忙孩子考试期间,甚至可以停止一切社交活动,全家一切活动让路于孩子的考试。
而且家长也总盘算著怎么让孩子成绩最好。
新加坡中学教育示意图如下,新加坡中学分中学快捷班、中学普通(学术)班及中学普通(工艺)班,本文中学部分以快捷班为例子介绍。

中学快捷班学制四年,毕业后参加新加坡-剑桥普通教育(普通水准)证书会考,就是通常说的O-Level考试。根据成绩或个人意愿申请初级学院或理工学院(国际奖学金生如SM1奖学金只支持就读初级学院,转读理工学院要放弃或取消奖学金)。
初级学院(JC)学制两年,毕业时参加新加坡-剑桥普通教育证书(高级水准)证书会考,就是通常说的A-Level考试。根据A-Level成绩报读新加坡或其它国家大学。
中学计分方式01
1.成绩的划分
每门功课的考试成绩满分100分,按照考试成绩划分等级 。从高到低依次是 A1、A2、B3、B4、C5、C6、D7、E8、F9:
75分以上: A1
74-70分: A2
69-65分: B3
64-60分: B4
59-55分: C5
54-50分: C6
49-45分: D7
44—40分: E8
39分以下: F9
2. 成绩的换算:

注:C6及以上为及格。
3. 课程简介(以快捷课程为例):

4. Olevel成绩计算方式:
初院录取成绩L1R5的计算方法:
L1:语言 ,英语和英语及格的情况下高华,其中成绩最好的一门。
R1:数学,在数学和高等数学中选成绩最好的一门。
R2:科学,在物理、化学和生物中选成绩最好的一门。
R3:人文,在所学的纯人文和组合人文中选成绩最好的一门。
R4、R5,在所剩余科目中选成绩最好的两门。
实例(O-Level考成绩单)
L1:英语及格可在英语和高华中选成绩高的科目。高华: A2=2分
R1:选数学成绩最高的科目,数学和高数都是A1任取一个 。数学:A1=1分
R2:科学(物理、生物和化学)中选成绩最好的科。物理和化学都是A1任取一个。物理:A1=1分
R3:人文 B3=3分
R4和R5:剩余科目中成绩最好的两科。高数和化学:A1+A1=1+1=2分
O-Level成绩:
L1R5 = 2+1+1+3+2 = 9分
5. 关于国际奖学金生的基本要求:
L1R5在15分以下,且英文及格,初院录取,保持奖学金.
L1R5在15分以下,英文不及格,初院录取,第二年O-Level补考英文 ,合格继续保留奖学金读初院。补考不及格,取消奖学金,且不可以继续在初院学习(可转私立学校自费读A水准预科班或用O-Level成绩重新报读理工学院)。
超过15分,取消奖学金,自费报读理工学院。
注:由于国际奖学金学生LIR5成绩普遍很好,而每所初院录取奖学金生有名额限制。所以会有更多因素影响录取结果。如:LIR5成绩相同情况下其它科目的成绩;申请初院志愿的顺序;所报初院录取奖学生的名额;所报初院奖学金生申请人数的多少等等)。
02初院计算方式
1. 成绩划分:
新加坡初级学院成绩计算是等级式。A是最好的成绩,B次之,以此类推:A、B、C、D、E、S、U。
满分100分:
70分以上 A
69—60 B
55—59 C
50—54 D
45—49 E
40—44 S
40以下 U
2. 成绩的换算:
初级学院课程根据难易程度分H1、H2和H3。

注:E及以上为及格

3. 课程简介:
三门必修课:
英语 General Paper(GP) (H1)
课题研究 Project Work(PW)(H1)
母语 MTL (H1)
四门选修课: 4科H2或者3科H2和1科H1,
4. A-Level考成绩计算:
如果选修的是4个H2,取3个得分高的按H2计分,得分最低的一科按H1计分。
计分公式:3*H2 + 1*H1 + 1*GP + 1*PW
理论满分:20x3+10+10+10=90
如果你有母语MTL成绩(如高华或华文),那么你的成绩会做一个加权平均值(如母语成绩可以提高你的总成绩)。母语MTL成绩算H1满分为10分
加母语 MTL成绩后计分公式:
(3*H2+H1+PW+GP+MTL)*90%=90
实例(A-Level考成绩单)

四科选修课为数学、物理、化学和经济,计分时成绩最差的一科自动算成H1(因为四科都是A,任选其中一科算做H1的成绩)
数学H2:A=20分;
物理H2:A=20分;
化学H2:A=20分;
经济(自动算成)H1:A=10分;
GP(H1): C=7.5分;
PW(H1以得B算): B=8.75分。
最终成绩为:
3*H2 + 1*H1 + 1*GP + 1*PW= 20+20+20+10+7.5+8.75=86.25分
假如有母语且母语MTL得A=10分,则成绩为:
(3*H2+H1+PW+GP+MTL)*90%=
(20+20+20+10+7.5+8.75+10)*90%=86.625分
注:
每年新加坡大学公布招生录取成绩要求中,PW默认为B,GP默认为C。
私立考生,是没有PW科目的,不算华文前,理论上最高得80分(满分90),如果有母语MTL,且得A,理论最高为81。
5. 成绩不理想的出路(来自咏晴的分享):
A-Level成绩公布后,如果感觉成绩渺茫,但还想留在新加坡求学:
1. A水准成绩至少两个科目及格E以上,O水准成绩英文至少D7,在A成绩公布一周内,用A水准成绩报读理工学院,只需读两年就可毕业,毕业时如果成绩特别优秀可再申请大学,大学如果报读和理工学院所学相对应的专业,可从大二读起。
2. 如果A成绩全部不及格,可用当年的O水准成绩报读理工学院,一定要在A水准成绩放榜的一个星期内报名,逾期只能等下一年。
3. 如果不想读理工学院,可报读私立学校补习A水准预备班,然后再申请大学。
大学计分方式
以国大为例03
1. 成绩换算:
2. CPA计算:
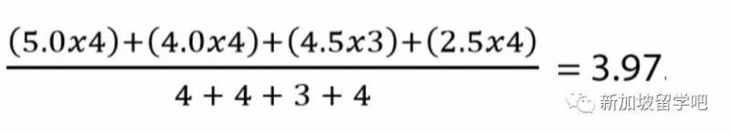
国大每门课程有个代码,如CN3121,字母代表学科,数字表示课程级别。每门课程根据学习时间(包括讲课、辅导、实验、作业和独立或小组学习)分不同学分MC,1个MC相当于每周需要2.5小时的学习和准备。如:4个MC课程,就是每周需要10个小时的学习时间。
CAP成绩计算,首先算出所学各科目MC乘以科目成绩的和,然后除以MCS的总数。

举例如下(如:学生一学期选了四门课,成绩如下表):

则累积平均分CAP计算如下:
如果学生S/U掉分数最少的一门(CS1010E),则累积平均分CAP计算如下:

3. 国大毕业生的学位制度:

每每一听说我儿子在新加坡读书,朋友都要询问有关新加坡教育的好坏。
国内想让孩子到新加坡读书的比比皆是,甚至还打听如何到新加坡读幼儿园的也不少,以双语教育著称的新加坡教育究竟是好是坏,我不想轻易下个结论,可我家孩子身在其中,谈一点经历和感受倒是可以的。
· 有一种爱叫做点赞 ·

7-16岁新加坡留学培训
新加坡掬英教育是一家在新加坡和中国都注册的国际化公司,专业从事7-16岁中小学生的新加坡留学方案设计以及AEIS培训的留学培训机构。AEIS 平均通过率为10%左右,然而掬英教育的平均通过率远远高于这个数字,为65%以上。我们拥有如此高的通过率是因为我们坚持精英教育,我们对于教学团队有着严格的把控!
教学团队:
1. 英文孔老师:原是北京新东方扬州外国语学校资深英语教师。到新加坡后一直致力于AEIS培训。凭借对中国学生的了解,及多年AEIS的成功辅导经验,孔老师送了一批又一批的学生进入新加坡政府中小学,圆了许许多多孩子的新加坡留学梦,给了他们高飞的翅膀,让他们有了不一样的人生!
2. 数学刘老师:中国北京大学博士,美国史丹福大学博士后。特别擅长AEIS中学数学备考辅导,有自己独特的教学方法和解题思路。所有刘老师教过的学生都在短时间内大幅度提高了成绩!
3. 数学陈老师:中国北京大学硕士,自2012年开始在新加坡从事中小学教学与AEIS考试培训,耐心严格,经验丰富。
培训地址:
2016年6月起开始掬英教育将AEIS培训从新加坡延伸到中国扬州,建立了长期的掬英教育AEIS中国扬州培训基地。
培训时间:
每年两个时间段:
1. 面向2月底考试的S-AEIS 培训班: 11月1日—2月19日
2. 面向9月底考试的AEIS培训班: 4月8日—9月19日
3.暑期集训班:7月1日—9月中旬AEIS考试前
(学生可以随时插班就读)
新加坡掬英教育扬州培训基地的课程设置:
掬英教育AEIS长期班:采取封闭式管理,全天24小时学习生活在掬英教育扬州基地(周日休息)。周一至周六每天四节英语课,每周四节数学课(每节课45分钟);每天7节辅导课(免费赠送);每周两节羽毛球课或桌球课(在羽毛球馆进行)
新加坡掬英教育还可以帮我们的学生做以下事项:
考前:AEIS考试报名
考试期间:新加坡送考,到新加坡后的安排住宿吃饭,学习管理,送考
考上之后:担保入境签证,安排优质的寄宿托管中心,带学生去学校报到,申请学生证,出任担保人,以及今后的与学校沟通联系——掬英为您一切安排妥当,免您后顾之忧!
新加坡掬英教育寄宿托管中心
考上新加坡政府学校的孩子可以选择寄宿在掬英教育推荐的托管中心里(公寓和别墅)。
欢迎关注我们的网站 http://www.juyingaeis.com/
掬英教育校区地址和报名热线
掬英教育总负责人-孔老师
中国校区---扬州
手机号:15152730579(中国)
手机号:+65-84311806 (新加坡)
微信号:joanneKXY1
QQ号:414217204
关注掬英教育公众号

添加掬英教育负责人: 孔老师微信,与孔老师直接对话!
如果觉得我的文章对您有用,请随意打赏。你的支持将鼓励我继续创作!